Bellman-Ford Algorithm
벨만 포드 알고리즘은 음수 간선이 존재하고 그것이 사이클을 만들어낸다고 해도 최단거리를 만들 수 있는 알고리즘이다.
다익스트라 알고리즘은 익히 알다시피, 음수 간선이 존재하면 사용할 수 없는 것을 알고 있을 것이다.
다익스트라와 벨만 포드의 차이
다익스트라와 벨만 포드는 둘 다 1차원 dist 배열을 갱신하며 최소치를 기록하는 스킬은 똑같다. 그러나, 다익스트라는 모든 노드를 살펴보지 않는다. 가능한 경우에만 다음 노드로 이동하기 때문이다. 그러나 이 효율적인 방식 때문에 음수 간선이 있으면 다익스트라를 사용할 수 없다.
그러나 벨만 포드는 효율적이지 않게도 모든 노드를 살펴본다. 그래서 시간복잡도가 N*M이다. 그리고 음수간선이 있어도 사용이 가능하다.
바로 아래 그래프로 예를 들어보자.

시작을 1이라고 하자.
1번으로 시작하여 인접 노드를 업데이트한다.
dist[2] = 3
dist[4] = 1
2번 노드로 이동해 인접 노드를 업데이트하자.
dist[3] = 8
3번 노드로 이동해 인접 노드를 업데이트하자.
업데이트가 이뤄지지 않는다. 모든게 최소이다.
4번 노드로 이동해 인접 노드를 업데이트 하자.
dist[2] = -2
5번 노드로 이동해 인접 노드를 업데이트 하자.
5번노드는 아직 방문하지 않았다. 즉, 1번이 아직 도달하지 못했으므로 업데이트를 하지 않는다.
이것을 N - 1번 반복한다. 두번째 반복을 보자.
1번에서는 당연히 갱신되지 않는다.
2번에서도 갱신되지 않는다.
3번에서도 갱신되지 않는다.
4번에서는 갱신이된다. dist[2] = -5
5번에서는 갱신되지 않는다.
왜 N - 1 번?
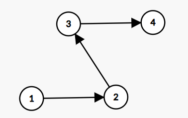
→ 이 과정은 N - 1번 반복해야한다. 왜냐하면 1번에서 모든 정점을 잇는다. 이것이 전재조건이기 때문인데, 다음 그래프를 보자.

만약 순서가 3에서 4를 잇고, 2에서 3을 잇고, 1에서 2를 잇는다고 생각해보자. 그렇다면 2→3는 아직 3이 1에서 도달하지 못했기 때문에 업데이트가 이뤄지지 않는다. 그런데 이후 1→2 가 이뤄진 후 다시 연산하면 2→3이 업데이트를 이룰 수 있다.
그러므로 N - 1번의 계산이 필요하다.
그렇다면 어떻게 음수 사이클을 확인하는가?
위를 이해했다면 다음은 쉽다. 왜냐하면 스테이블한 간선들이라면 N - 1번으로 최적해가 만들어진 상태이기 때문에 더 이상 최소 값이 갱신 되지 않아야 한다. 그러므로 한 번 더 갱신을 했을 때 최소값이 생긴다면 그것은 사이클이 있는 그래프라고 판단이 가능하다.
#include <iostream>
#include <vector>
#define INF 13513512
using namespace std;
vector<pair<pair<int, int>, int>> node;
int N, M;
int dist[501];
bool Bellman_Ford() {
for (int i = 0; i < N - 1; i++) {
for (int j = 0; j < node.size(); j++) {
int here = node[j].first.first;
int next = node[j].first.second;
int cost = node[j].second;
if (dist[here] == INF) continue;
if (dist[next] > dist[here] + cost) dist[next] = dist[here] + cost;
}
}
for (int j = 0; j < node.size(); j++) {
int here = node[j].first.first;
int next = node[j].first.second;
int cost = node[j].second;
if (dist[here] == INF) continue;
if (dist[next] > dist[here] + cost) {
return false;
}
}
return true;
}
int main() {
ios_base::sync_with_stdio(false);
cin.tie(NULL);
cin >> N >> M;
for (int i = 0; i <= N; i++) dist[i] = INF;
for (int i = 0; i < M; i++) {
int a, b, c;
cin >> a >> b >> c;
node.push_back({{ a, b },c });
}
dist[1] = 0;
if (Bellman_Ford()) {
for (int i = 2; i <= N; i++) {
if (dist[i] == INF)
cout << -1 << '\\n';
else
cout << dist[i] << '\\n';
}
}
else {
cout << -1 << '\\n';
}
}
'CS > 자료구조,알고리즘' 카테고리의 다른 글
| 최소 스패닝 트리 (MST) - 프림 알고리즘 (1) | 2024.01.22 |
|---|---|
| 방향 그래프에서 사이클 찾기 (1) | 2024.01.16 |
| 플로이드-워셜 알고리즘 (2) | 2023.12.26 |
| 최소 공통 조상 LCA: Lowest Common Ancestor (0) | 2023.12.12 |
| 이분 탐색의 이해 (0) | 2023.07.02 |